hjc888·黄金城(中国)有限公司官网

Poly DADMAC Powder

PRODUCTS > PolyDADMAC Powder > Poly DADMAC Powder

Poly DADMAC Powder

  • PolyDADMAC, PolyDMDAAC, PDADMAC

LUYUE CHEMICAL ■

PolyDADMAC Powder

Product introduction

[CAS Name ] 2-Propen-1-aminium,N,N-dimethyl-N-Propenyl-,chloride homopolymer

[Synonyms ] PolyDADMAC, PolyDMDAAC, PDADMAC, PDMDAAC, Polyquaternium 

[CAS No. ] 26062-79-3

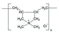
[Molecular Formula ] (C8H16NCI) n

[Structure ]

image.png

[Property ]

The product is a strong cationic polyelectrolyte, the appearance is white flake or solid particle. The product is soluble in water, nonflammable, safe, non-toxic, high cohesive force and good hydrolytic stability. Its not sensitive to pH change, and it has a resistance to chlorine. The decomposition temperature is 280-300℃. The solid dissolution time of this product should be within 10min. Molecular weight can be customized.

Specification

Code\ltem

Appearance

Solid content (%)

pH

Viscosity(25℃), cps

LYSP3410

white flake or particle

92%

4.0-7.0

1000-3000

LYSP 3420

4.0-7.0

8000-12000

LYSP 3430

4.0-7.0

70000

LYSP 3440

4.0-7.0

140000-160000

LYSP 3450

4.0-7.0

200000

LYSP 3460

4.0-7.0

300000

NOTE: The test condition of rotary viscosity: the concentration of PolyDADMAC is 40%.

 

Use

Used as flocculants in water and wastewater treatment. In the mining and the process of mineral, it is always used in dewater flocculants which can extensively applied in treating various mineral mud, such as coal, taconite, natural alkali, gravel mud and titania. In the textile industry, it is used as formaldehyde-free color-fi xing agent. In the papermaking, it is used as paper conductivity paint to make conductive paper, AKD sizing promotor. Moreover, this product also can be used as conditioner, antistatic agent, wetting agent, shampoo, emollient and so on.

Package& Storage

10kg or 20kg per kraft bag, inner with waterproof film

Pack and preserve the product in a sealed, cool and dry condition, and avoid contacting strong oxidants. The term of validity: One year. Transportation: Non-dangerous goods.


Previous: End
Next: Soft conditioner
HJC888黄金城